| 产品特性:蓖麻油酸 | 颜色(G):4以下 | 中和值:177-185 |
| 皂化值:185-190 | 碘值:85-90 | 羟基值:155以上 |
| 包装规格:190kg/桶 | 小包装:16kg/桶 |
蓖 麻 油 脂 肪 酸
Castor Oil Fatty Acid
货 源:制造商:小仓合成工业株式会社——日本进口
产品性质:
蓖麻油通过***的技术分解成高品质的蓖麻油脂肪酸。
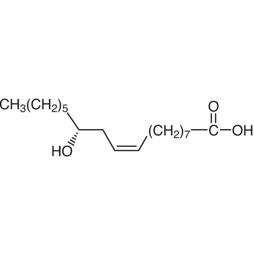
脂肪酸组成:12-氧基-顺-9-十八烷酸(蓖麻油酸)87~90%,其他脂肪酸10~13%。
质量高,质量稳定,颜色浅。
虽然是工业级,但作为食品原料的使用实绩多。
产品用途:可用于食品(乳化剂)、化妆品、涂料、润滑油、工作油、粘结剂、防锈剂等原料。
结 构 式:
主成分结构式(蓖麻油酸)
分 子 式:C18H34O3
CAS NO:61789-44-4
产 品 规 格
单位 | 规格值 | 试验方法 | |
颜色(G) | —— | 4以下 | JIS K 3331 7.9(2009) |
中和值 | mgKOH/g | 177-185 | JIS K 3331 7.3(2009) |
皂化值 | mgKOH/g | 185-190 | JIS K 3331 7.4(2009) |
碘值 | gI/100g | 85-90 | JIS K 3331 7.5(2009) |
羟基值 | mgKOH/g | 155以上 | 基准油脂分析试验法2.3.6.2(2013) |
产品包装规格 | 190kg/桶,16kg/桶 | ||
产品详细内容:敬请来电咨询!
双辰国际贸易(大连)有限公司
南兴(大连)国际贸易有限公司现已更名为双辰国际贸易(大连)有限公司
双辰国际贸易(大连)有限公司位于辽东半岛沿海城市大连,属于大连自贸区内进出口企业,商品贸易业务经全国临海主要港口辐射至全国各地及海外日本。本公司作为衔接中日两国贸易之桥梁纽带,始终坚持以强烈的责任心和使命感、以真诚务实的服务态度积极促进中日企业在产品与技术方面的全面协作和共同发展。我司业务以日本高品质绿色原料为基础,依托中国日益进步的生产工艺,促进中国企业在高端***产品上的长足发展,使其能够生产出与发达国家别无异样的高端产品,从而满足国内市场对高品质产品的需求。同时优选国内相关高品质原料出口于日本企业客户。
本公司业务内容涉及高品质日化医药工业用化工材料、精密研磨材料、电子陶瓷、企业咨询及海外技术引进和市场拓展等相关业务。在如今碳达峰、碳中和的国际大趋势下,替代当下主流***性石油产品,推进绿色可再生能源的广泛应用将成为人类发展的必然趋势。我司涉及的蓖麻油及其衍生化工产品便是绿色环保的可再生性化工原料。蓖麻油及其衍生产品广泛应用于医药品、化妆品、护肤品、润滑油、润滑脂、金属工作油、合成树脂添加剂、涂料、印刷油墨、粘稠剂、增塑剂等领域。
双辰大连公司诚挚欢迎有意向的企业客户与我们洽谈合作协同发展!
双辰国际贸易(大连)有限公司注册地址位于辽宁省大连保税区自贸大厦815室,注册机关为大连保税区市场监督管理局,法人代表为李德文,经营范围包括一般项目:新型陶瓷材料销售,耐火材料销售,特种陶瓷制品销售,非金属矿及制品销售,电子专用材料销售,金属工具销售,金属切削机床销售,技术服务、技术开发、技术咨询、技术交流、技术转让、技术推广,机械零件、零部件销售,数控机床销售,机床功能部件及附件销售,日用品批发,日用品销售,化工产品销售(不含许可类化工产品),互联网销售(除销售需要许可的商品),化 妆 品批发,化 妆 品零售,专用化学产品销售(不含危险化学品),货物进出口(除依法须经批准的项目外,凭营业执照依法自主开展经营活动)
点击查看>| 企业类型 | 有限责任公司(自然人独资) | 注册资本 | 150.00万人民币 |
| 公司注册地址 | 辽宁省大连保税区自贸大厦815室 | 统一社会信用代码 | 91210242MA11370R6C |
| 登记机关 | 大连保税区市场监督管理局 | 法定代表人 | 李德文 |
| 公司成立日期 | 2021-05-12 | 营业期限 | 2021-05-12 至 无固定期限 |
| 经营范围 | 一般项目:货物进出口;新型陶瓷材料销售;特种陶瓷制品销售;半导体器件专用设备销售;电子专用材料销售;数控机床销售;电子测量仪器销售;电子专用设备销售;化工产品销售(不含许可类化工产品);专用化学产品销售(不含危险化学品);耐火材料销售;机床功能部件及附件销售;非金属矿及制品销售;机械零件、零部件销售;金属工具销售;机械设备销售;技术服务、技术开发、技术咨询、技术交流、技术转让、技术推广;离岸贸易经营;国内贸易代理;进出口代理;采购代理服务;销售代理;商务代理代办服务;信息技术咨询服务;贸易经纪;日用品批发;日用品销售;互联网销售(除销售需要许可的商品);化妆品批发;化妆品零售。(除依法须经批准的项目外,凭营业执照依法自主开展经营活动) | ||



